PRD CADMIUM

PRD CADMIUM

Dosímetro-Señalizador de Búsqueda DKS-02PN

  • PRD muy sensible y compacto

    Receptor GPS integrado

    Сarcasa resistente al polvo y al agua

  • Cumple con las normas 42.32 & 42.33
Order Got a question?

Feedback

[recaptcha]
  • Descripción
  • Descripción
  • Descripción
  • Descripción
  • Descripción
  • Descripción

Descripción

Dispositivo de alta sensibilidad destinado a detectar y localizar materiales radiactivos y nucleares por su radiación externa gamma y neutrónica. Se utiliza ampliamente para impedir la transferencia ilícita de materiales radiactivos.

A petición del cliente podemos fabricar CADMIUM sólo en versión gamma (sin canal de neutrones).

Guía en vídeo

Aplicaciones

  • Búsqueda (detección y localización) de materiales radiactivos y nucleares por su radiación gamma y neutrónica externa

  • Medición de tasa de dosis equivalente ambiental de radiación gamma y de rayos X (TDE de radiación ionizante de fotones)

  • Indicación de  tasa de dosis equivalente ambiental (TDE) de radiación neutrónica

  • Medición de dosis equivalente ambiental (DE) de radiación gamma y de rayos X

  • Determinación de la intensidad de la radiación gamma, de rayos X y de radiación neutrónica

Características

  • Detectores de centelleo CsI(Tl) de alta sensibilidad de radiación gamma y LiI(Eu) de radiación neutrónica con fotomultiplicador de estado sólido (silicio)

  • Pantalla a color de alta resolución

  • Sin “efecto micrófono”

  • Alta estabilidad térmica

  • Alarma acústica y vibratoria de superación de umbrales

  • Sistema de alarma con cuatro niveles de umbral independientes:

    – nivel umbral de búsqueda (nivel umbral de tasa de recuento desde el detector de radiaciónes ionizantes fotónica y de neutrones)
    – nivel umbral de seguridad (nivel umbral de TDE DE radiación ionizante de fotónica)
    – nivel umbral de dosis acumulada

  • Alarma de color luminosa (indicación) de superación de umbrales (radiación gamma – color rojo, neutron – azul) y alarma visual alarm en el lado del dispositivo

  • El dosímetro se comunica con un PC a través del puerto USB

  • Funciona con una batería de polímero de litio integrada que se puede cargar a través de un cable USB

  • El software se utiliza para:

    – lectura de resultados de medición y eventos críticos desde la memoria del dosímetro al PC
    – preparación e impresión de informes
    – visualización de la información dosimétrica obtenida con las coordenadas GPS en el mapa de la zona

Especificaciones Técnicas

 

Sensibilidad del detector de centelleo (137Cs) CsI(Tl) a la radiación ionizante fotónica

A petición del usuario, la sensibilidad se puede cambiar a un valor de al menos

200 cps/(µSv/h)

 

450 cps/(µSv/h)

 

Sensibilidad del detector de centelleo LiI(Eu) a la radiación de neutrones

– para neutrones térmicos, no menos de

– neutrones rápidos, no menos de

 

1.2 ± 0.12 pulse·cm2/n

0.12 ± 0.012 pulse·cm2/n

Rango total de medición e indicación de TDE de la radiación ionizante fotónica

– desde la unidad de detección de centelleo integrada de radiación ionizante fotónica

– desde el contador Geiger-Muller incorporado

0.01…106 μSv/h

 

0.01 … 50 μSv/h

 

50 … 106 μSv/h

Rango de medición y de indicación de DE ionizante fotónica desde el contador Geiger-Muller 0.1 … 9.9·106 μSv
Rango de indicación de TDE de la radiación de neutrones 0.01 … 104 μSv/h
Rango de indicación de tasa de recuento de la radiación ionizante de fotones 1 … 25 000 cps
Rango de indicación de tasa de recuento de impulsos de radiación neutrónica (desde la unidad de detección de radiación neutrónica ) 0.01 … 25 000 cps
Límite del error relativo principal permisible al medir la TDE de la radiación ionizante fotónica desde la unidad de detección de centelleo de radiación ionizante fotónica con una probabilidad de confianza de 0.95 (137Cs) (15+1/H*(10)) %, donde H*(10) es un valor numérico de TDE medida en μSv/h
Límite del error relativo principal permisible al medir la TDE y DE de la radiación ionizante fotónica desde el contador Geiger-Muller con una probabilidad de confianza de 0.95 (137Cs) 15 %
Rango energético de la radiación ionizante fotónica detectada 0.02 … 3 MeV
Dependencia energética de las lecturas del dispositivo al medir la TDE de la radiación ionizante fotónica en el rango de energía de 0.05 MeV a 3 MeV relativa a energía de 0.662 MeV (137Cs) ± 25 %
Rango de energía de la radiación neutrónica detectada 2.5·10-8 … 14 MeV
Tiempo de ajuste del modo de funcionamiento del dosímetro, no más de 1 min
Tiempo de calibración según el nivel de fondo gamma 2 … 90 s
Tiempo de respuesta a un cambio de TDE de la radiación ionizante fotónica superior a 10 veces 0.25 s
Tensión nominal de alimentación del dosímetro 3.7 V
Tiempo de funcionamiento continuo del dispositivo alimentado por una batería de polímero de litio cargada si el fondo de radiación gamma no es superior a 0,5 μSv/h

– una retroiluminación de la pantalla apagada, alarma y el receptor GPS apagados, no menos de

– una retroiluminación de la pantalla apagada, sin activación de alarma y el receptor GPS encendido, no menos de

 

 

200 h

 

55 h

Rango térmico de operación – 20 … + 50 °С
Dimensiones del dosímetro sin un clip (con un clip), no más de 67 × 128 × 30 (45) mm
Peso del dosímetro, no más de 0.28 kg

 

Download operating manual

Certificates

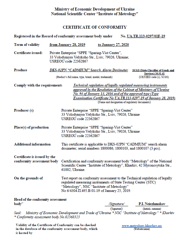
  • Certificado de examen de tipo UA-TR.113-0297-19 dd. 28 de enero de 2019

  • Certificado de conformidad de instrumentos de medida con número de modelo aprobado UA-TR.113-0297-19 dd. 28 de enero de 2019

  • Declaración de conformidad con las normas CE

Certificado de examen de tipo

Obtenga más información sobre el Certificado aquí

Kit de Entrega

  • dosímetro-señalizador de búsqueda
  • cargador
  • cable USB blindado
  • software
  • manual de instrucciones
  • caja de embalaje
erty